Задать свой вопрос
*более 50 000 пользователей получили ответ на «Решим всё»
Задача 48870
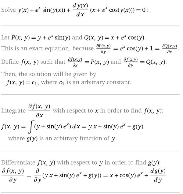
Решить уравнение: 576) (y+e^x sin y) dx...
Условие
vk241636471
2020-04-29 14:51:25
Решить уравнение: 576)
(y+e^x sin y) dx +(x+e^x cos y)dy=0
математика ВУЗ
1015
Решение
slava191
2020-04-29 17:38:29
★
Написать комментарий
Меню
Решим всё
Найти задачу
Категории
Статьи
Тесты
Архив задач
Присоединяйся в ВК