Задать свой вопрос
*более 50 000 пользователей получили ответ на «Решим всё»
Задача 48868
...
Условие
vk241636471
2020-04-29 14:46:20
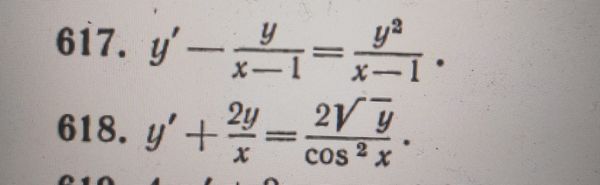
618) Принять за неизвестную функцию x
y'+(2y/x)=2√y/cos^2x
математика ВУЗ
467
О решение...
На нашем сайте такое бывает редко, но решение к данной задаче еще никто не написал.
Что Вы можете сделать?
Выставите данный вопрос вновь. Перейдите на
главную страницу
.
Найдите похожую задачу. Используйте
поиск
.
Написать комментарий
Меню
Решим всё
Найти задачу
Категории
Статьи
Тесты
Архив задач
Присоединяйся в ВК