Задать свой вопрос   *более 50 000 пользователей получили ответ на «Решим всё»

Задача 48795 ...

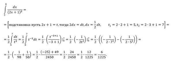
Условие

∫₂³ (dx / (2x + 1)³)

математика ВУЗ 525

Все решения

Если обозначить
u=2x+1
то
du=d(2x+1)

du=(2x+1)`*dx

du=2dx

dx=(1/2)du

dx=(1/2)d(2x+1)

Не применяю замену переменной в определенном интеграле, чтобы не менять пределы интегрирования.

Поэтому решение записываю так:

[m]∫^{3}_{2}\frac{dx}{(2x+1)^3}= \frac{1}{2}∫^{3}_{2}\frac{d(2x+1)}{(2x+1)^3}=[/m]

табличный интеграл:

[m] ∫\frac{du}{u^3}= ∫ u^{-3}du=\frac{u^{-2}}{-2}[/m]

[m]=\frac{1}{2}\cdot \frac{(2x+1)^{-2}}{-2} | ^{3}_{2}=[/m]

[m]=-\frac{1}{4}\cdot \frac{1}{(2x+1)^2}|^{3}_{2}=[/m]

[m]=-\frac{1}{4}(\frac{1}{7^2}-\frac{1}{5^2})=[/m]

[m]=\frac{1}{4}(\frac{1}{5^2}-\frac{1}{7^2})=\frac{1}{4}\frac{24}{25\cdot 49}=\frac{6}{1225}[/m]

Написать комментарий

Меню

Присоединяйся в ВК