Задать свой вопрос   *более 50 000 пользователей получили ответ на «Решим всё»

Задача 48767 Помогите пожалуйста! Принять за...

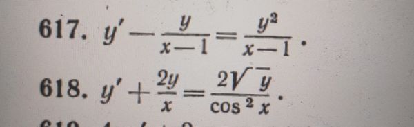
Условие

Помогите пожалуйста!
Принять за неизвестную функцию x

математика ВУЗ 770

Все решения

(x-1)*y`-y=y^2

y`=1/x`

(x-1)=(y+y^2)*x`

x`=dx/dy

(x-1)dy=(y+y^2)dx - уравнение с разделяющимися переменными

dx/(x-1)=dy/(y+y^2)

∫ dx/(x-1)= ∫dy/(y+y^2)

Раскладываем дробь справа на простейшие:

∫ dx/(x-1)= ∫dy/y-∫ dt/(1+y)

ln|x-1|=ln|y|-ln|y+1|+lnC

[b]x-1=Cy/(y-1)[/b]

Написать комментарий

Меню

Присоединяйся в ВК