Задать свой вопрос   *более 50 000 пользователей получили ответ на «Решим всё»

Задача 48765 Задание на картинке...

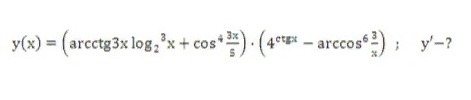
Условие

Задание на картинке

математика 10-11 класс 550

Решение

[m](u\cdot v)`=u`\cdot v+u\cdot v`[/m]

u=arcctg 3x*log^(3)_(2)x+cos^4(3x/5)

u`=(arcctg3x)`*log^(3)_(2)x+(acctg3x)*(log^3_(2)x)`+4*cos^3(3x/5)*(cos(3x/5))`

u`=((3x)`/(1+(3x)^2))*log^(3)_(2)x +(acctg3x)*(3*log^2_(2)x)*(log_(2)x)`+4*cos^3(3x/5)*(-sin(3x/5))*(3x/5)`

u`=(3/(1+(3x)^2))*log^(3)_(2)x +(acctg3x)*(3*log^2_(2)x)*(1/x)*(1/ln2) +4cos^3(3x/5)*(-sin(3x/5))*(3/5)

u`=(3*log^(3)_(2)x) /(1+(3x)^2)) +(3/ln2) *(acctg3x)*(log^2_(2)x)*(1/x) -(12/5)*cos^3(3x/5)*(sin(3x/5))


v`=4^(ctgx)*(ctgx)`-6*arccos^5(3/x) * (arccos(3/x))`

v`= 4^(ctgx)*(ctgx)`-6*arccos^5(3/x) * (arccos(3/x))`

v`= 4^(ctgx)*(1/sin^2x)-6*arccos^5(3/x) * (-1/sqrt(1-(3/x)^2))(3/x)`

v`=( 4^(ctgx)/sin^2x)-6*arccos^5(3/x) * (-1/sqrt(1-(3/x)^2))(-3/x^2)

v`=( 4^(ctgx)/sin^2x)-18 *arccos^5(3/x) * (x/sqrt(x^2-9))(1/x^2)

v`=( 4^(ctgx)/sin^2x)-18 (arccos^5(3/x))/(x*sqrt(x^2-9))

Написать комментарий

Меню

Присоединяйся в ВК