Задать свой вопрос   *более 50 000 пользователей получили ответ на «Решим всё»

Задача 48763 ...

Условие

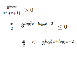
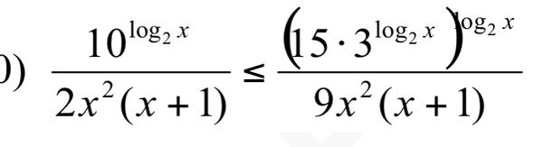
10^(log_2 x) / (2x^2 (x + 1)) ≤ (15 * 3^(log_2 x))^(log_2 x) / (9x^2 (x + 1))

математика 10-11 класс 896

Решение

Вопросы к решению (1)

Написать комментарий

Меню

Присоединяйся в ВК