Задать свой вопрос   *более 50 000 пользователей получили ответ на «Решим всё»

Задача 48682 Вычислить скалярное произведение...

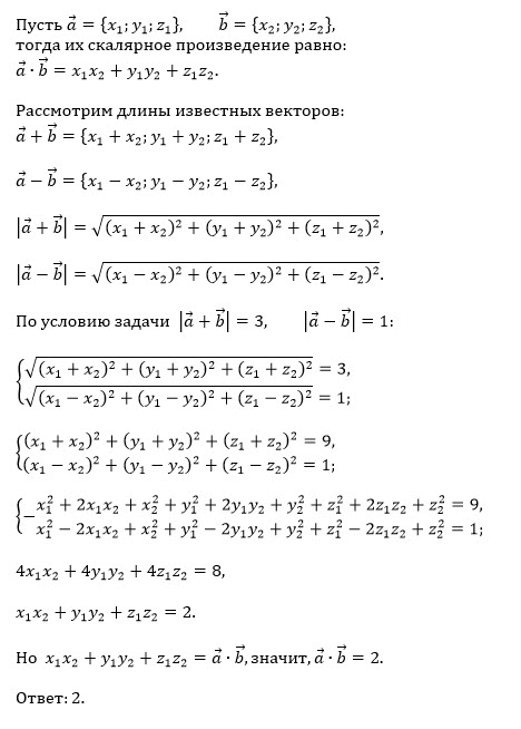
Условие

Вычислить скалярное произведение векторов а и в, если
|а+в|=3, |а-в|=1

математика 10-11 класс 1059

Решение

|vector{a}+vector{b}|^2=(vector{a}+vector{b})*(vector{a}+vector{b})=

= векторная АЛГЕБРА, поэтому раскрываем скобки как в алгебре

=(vector{a}*vector{a})+(vector{b}*vector{a})+(vector{a}*vector{b})+(vector{b}*vector{b})=

=|vector{a}|^2+2*(vector{a}*vector{b})+|vector{b}|^2


|vector{a}-vector{b}|^2=(vector{a}-vector{b})*(vector{a}-vector{b})=

= векторная АЛГЕБРА, поэтому раскрываем скобки как в алгебре

=(vector{a}*vector{a})-(vector{b}*vector{a})-(vector{a}*vector{b})+(vector{b}*vector{b})=

=|vector{a}|^2-2*(vector{a}*vector{b})+|vector{b}|^2

Cистема:
{|vector{a}|^2+2*(vector{a}*vector{b})+|vector{b}|^2=9
{|vector{a}|^2-2*(vector{a}*vector{b})+|vector{b}|^2=1

Вычитаем из первого второе:

4*(vector{a}*vector{b})=8 ⇒ (vector{a}*vector{b})=2

Все решения

Написать комментарий

Категория

Меню

Присоединяйся в ВК