Задать свой вопрос   *более 50 000 пользователей получили ответ на «Решим всё»

Задача 4861 а) Решите уравнение sin2x/cos(x+3Pi/2) =...

Условие

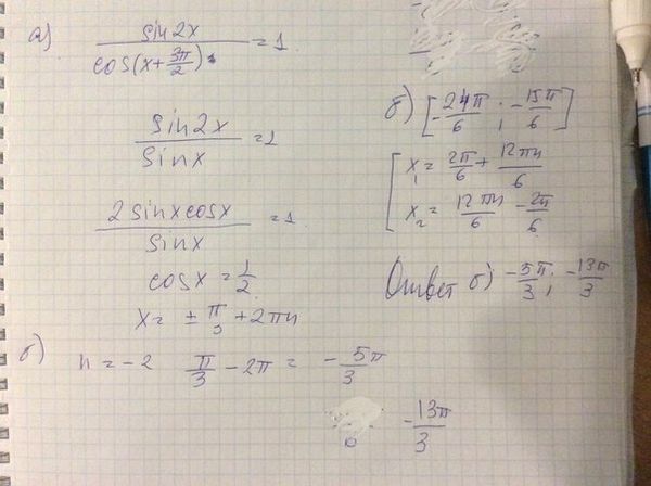
а) Решите уравнение sin2x/cos(x+3Pi/2) = 1

б) Найдите все корни этого уравнения принадлежащие отрезку [-4Pi; -5Pi/2]

математика 10-11 класс 49130

Решение



Ответ: +-pi/3+2pi*n; -5pi/3,-13pi/3

Ошибки в решение (1)

Все решения

Вот правильное!

Написать комментарий

Меню

Присоединяйся в ВК