Задать свой вопрос
*более 50 000 пользователей получили ответ на «Решим всё»
Задача 48592
Решите систему уравнений способом...
Условие
vk324270317
2020-04-27 17:31:54
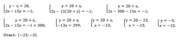
Решите систему уравнений способом подстановки
y-x=20
2x-15y= -1
математика 6-7 класс
2487
Все решения
u821511235
2020-04-27 18:03:56
Написать комментарий
Меню
Решим всё
Найти задачу
Категории
Статьи
Тесты
Архив задач
Присоединяйся в ВК