Задать свой вопрос   *более 50 000 пользователей получили ответ на «Решим всё»

Задача 48563 Не выполняя построений, найдите...

Условие

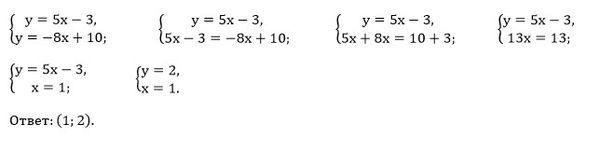
Не выполняя построений, найдите координаты точки пересечения графиков функций y = 5x – 3 и y = -8x + 10.
Ответ запишите в скобках через точку с запятой без пробела.

математика 6-7 класс 2081

Все решения

Решить уравнение:
5x-3=-8x+10
5x+8x=3+10
13x=13
x=1

y=5x-3=5*1-3=2

О т в е т. (1;2)

Написать комментарий

Меню

Присоединяйся в ВК