Задать свой вопрос
*более 50 000 пользователей получили ответ на «Решим всё»
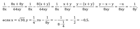
Задача 48541
Задание на фотографии по алгебре...
Условие
vk278710785
2020-04-27 14:08:40
Задание на фотографии по алгебре
математика 8-9 класс
484
Все решения
u821511235
2020-04-27 14:28:31
Написать комментарий
Меню
Решим всё
Найти задачу
Категории
Статьи
Тесты
Архив задач
Присоединяйся в ВК