Задать свой вопрос   *более 50 000 пользователей получили ответ на «Решим всё»

Задача 48506 1. Найдите производную функции: а) y =...

Условие

1. Найдите производную функции:
а) y = cos 7x ; б) y = (12 - 5x)^(25) ;
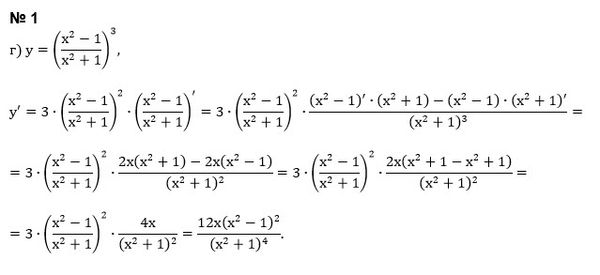
в) y = 1 / (x^3 - 5) ; г) y = ((x^2 - 1) / (x^2 + 1))^3

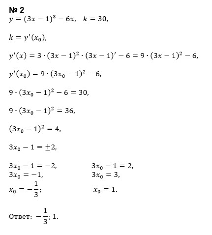
2. При каких значениях x угловой коэффициент касательной к графику функции y = (3x - 1)^3 - 6x равен 30?

математика 10-11 класс 635

Решение

Написать комментарий

Меню

Присоединяйся в ВК