Задать свой вопрос   *более 50 000 пользователей получили ответ на «Решим всё»

Задача 48498 log4(x^2-8x+8)=log(16)(2-x)^4 [log73;...

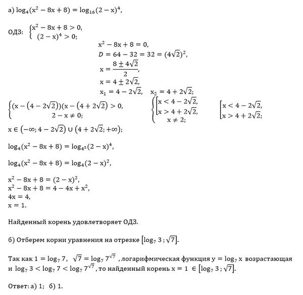
Условие

log4(x^2-8x+8)=log(16)(2-x)^4
[log73; sqrt(7)]

математика 10-11 класс 673

Все решения

ОДЗ:
{x^2-8x+8 >0 ⇒ D=8^2-32=32; x_(1,2)=4 ± 2sqrt(2)
{(2-x)^4>0 - верно при всех х, кроме х=2, в точке х=2: 0>0 - неверно

[red]x ∈ (- ∞ ;4-2sqrt(2)) U(4+2sqrt(2);+ ∞ )[/red]

log_(16)(2-x)^4=log_(4^2)((2-x)^2)^2=log_(4)|(2-x)^2|=log_(4)(2-x)^2

Уравнение можно записать:

log_(4)(x^2-8x+8)=log_(4)(2-x)^2 ⇒ x^2-8x+8=(2-x)^2 ⇒ x^2-8x+8=4-4x+х^2

-4x=-4

x=1

1 ∈ [red]ОДЗ[/red]

Так как
1 < 4-2sqrt(2) ⇒ 0 < 3-2sqrt(2) ⇒ 2sqrt(2) < 3 ⇒ 8 < 9 - верно

О т в е т. 1

б)
log_(7)3 < log_(7)7=1

1< sqrt(7)

О т в е т. б) 1

Написать комментарий

Меню

Присоединяйся в ВК