Задать свой вопрос   *более 50 000 пользователей получили ответ на «Решим всё»

Задача 48449 Помогите подробно решить Решить систему...

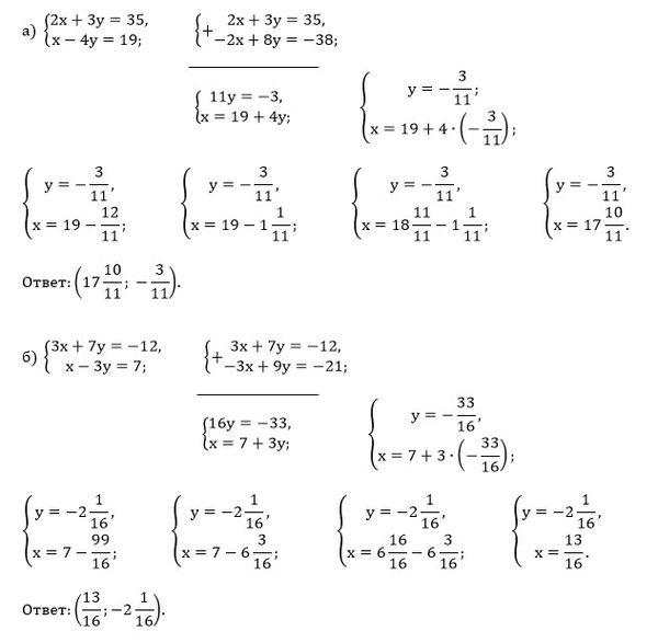
Условие

Помогите подробно решить
Решить систему методом алгебраического сложения:
А. { 2 x+3 y=35 x−4 y=1 9 Б. {3 x+7 y=-12 x-3 y=7

предмет не задан 853

Решение

Написать комментарий

Меню

Присоединяйся в ВК