Задать свой вопрос
*более 50 000 пользователей получили ответ на «Решим всё»
Задача 48407
...
Условие
ladykaramel
2020-04-26 16:35:41
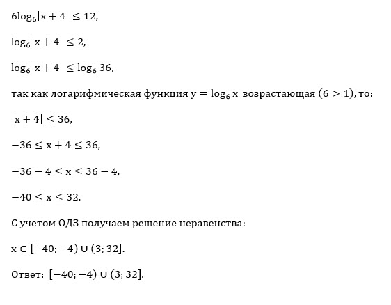
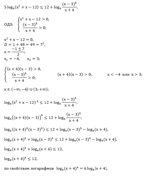
Решить неравенство 5 log6 (x^2 + x - 12) ≤ 12 + log6 ((x - 3)^5 / (x + 4))
математика 10-11 класс
1128
Решение
u821511235
2020-04-26 19:47:36
★
Написать комментарий
Категория
ЕГЭ по Математике (проф.)
задание 15 (неравенство)
Меню
Решим всё
Найти задачу
Категории
Статьи
Тесты
Архив задач
Присоединяйся в ВК