Задать свой вопрос   *более 50 000 пользователей получили ответ на «Решим всё»

Задача 48261 35^(x+sqrt(x^2-1))*13^(2*sqrt(x^2-1))>35^(x-sqrt(x^2-1))...

Условие

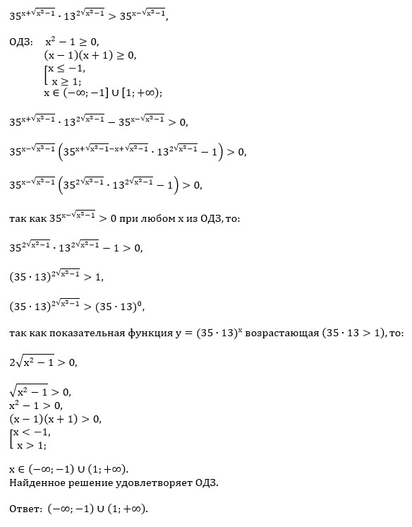
35^(x+sqrt(x^2-1))*13^(2*sqrt(x^2-1))>35^(x-sqrt(x^2-1))

математика 846

Все решения

[b]ОДЗ: x^2-1 ≥ 0[/b] ⇒ (- ∞ ;-1]U[1;+ ∞ )

35^(x+√x2–1)·13^(2·√x2–1)[red]-[/red]35^(x–√x2–1) >0

Раскладываем на множители:
35^(x–√x2–1)*(35^(2sqrt(x^2-1))-13^(2sqrt(x^2-1))>0

35^(x–√x2–1)> 0 при любом x из [b]ОДЗ[/b]


35^(2sqrt(x^2-1))-13^(2sqrt(x^2-1))>0

(35/13)^(2sqrt(x^2-1)) > 1 ⇒ 2sqrt(x^2-1) > 0 строгое, а в ОДЗ не строгое
значит неравенство будет верно при любом x из [b]ОДЗ[/b], кроме x= ± 1

О т в е т.(- ∞ ;-1)U(1;+ ∞ )

Написать комментарий

Меню

Присоединяйся в ВК