Задать свой вопрос
*более 50 000 пользователей получили ответ на «Решим всё»
Задача 48162
Найдите неопределенный интеграл методом...
Условие
biter
2020-04-24 08:36:13
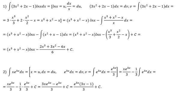
Найдите неопределенный интеграл методом интегрирования по частям
математика
612
Решение
u821511235
2020-04-24 09:26:39
★
Написать комментарий
Меню
Решим всё
Найти задачу
Категории
Статьи
Тесты
Архив задач
Присоединяйся в ВК