Задать свой вопрос
*более 50 000 пользователей получили ответ на «Решим всё»
Задача 47998
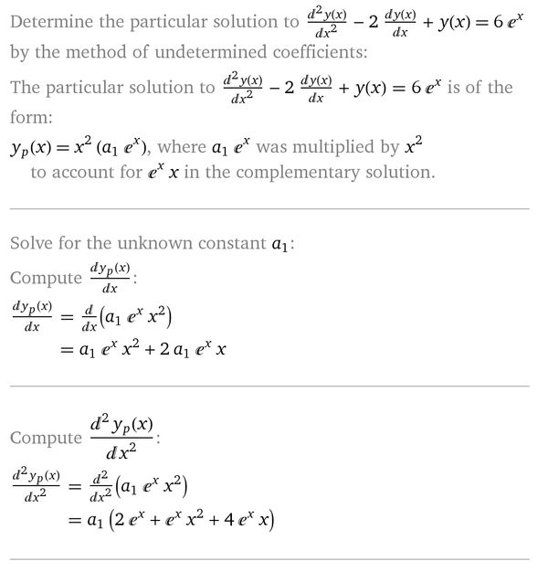
ОДУ y''-2y'+y=6e^x Помогите решить,...
Условие
vk213805901
2020-04-22 20:46:59
ОДУ y''-2y'+y=6e^x Помогите решить, пожалуйста!
предмет не задан
1798
Решение
slava191
2020-04-22 23:43:57
★
Написать комментарий
Меню
Решим всё
Найти задачу
Категории
Статьи
Тесты
Архив задач
Присоединяйся в ВК