Задать свой вопрос
*более 50 000 пользователей получили ответ на «Решим всё»
Задача 47997
ОДУ y"+pi^2y=pi^2/cospix, y(0)=3, ...
Условие
vk213805901
2020-04-22 20:44:38
ОДУ y"+pi^2y=pi^2/cospix, y(0)=3, y'(0)=0 Никак не получается, помогите решить, пожалуйста!
математика ВУЗ
1747
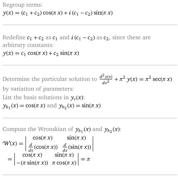
Решение
slava191
2020-04-22 23:49:13
★
Написать комментарий
Меню
Решим всё
Найти задачу
Категории
Статьи
Тесты
Архив задач
Присоединяйся в ВК