Задать свой вопрос   *более 50 000 пользователей получили ответ на «Решим всё»

Задача 47960 ...

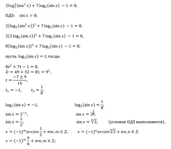
Условие

Решите уравнение 2log^2_2( sin^2 x) + 7log_2( sin x) - 1 = 0
В ответе запишите сумму корней, принадлежащих отрезку [-13π/2; -5π], делённую на π.

математика 520

Решение

Написать комментарий

Меню

Присоединяйся в ВК