Задать свой вопрос
*более 50 000 пользователей получили ответ на «Решим всё»
Задача 47936
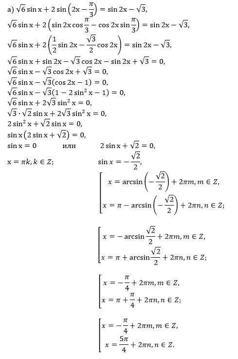
Корень 6...
Условие
vk232948894
2020-04-22 14:16:17
Корень 6 sinx+2sin(2x-pi/3)=sin2x-корень3 [-7pi/2;-2pi]
математика 10-11 класс
8555
Все решения
u821511235
2020-04-27 22:28:23
Написать комментарий
Меню
Решим всё
Найти задачу
Категории
Статьи
Тесты
Архив задач
Присоединяйся в ВК