Задать свой вопрос
*более 50 000 пользователей получили ответ на «Решим всё»
Задача 47929
...
Условие
tion
2020-04-22 13:51:16
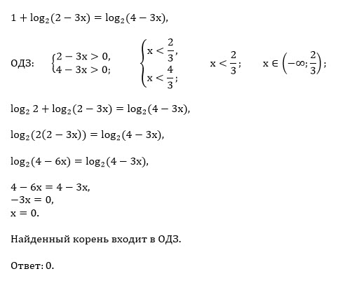
Решите уравнение
1 + log₂(2 - 3x) = log₂(4 - 3x)
.
математика
527
Все решения
u821511235
2020-04-27 21:51:48
Написать комментарий
Меню
Решим всё
Найти задачу
Категории
Статьи
Тесты
Архив задач
Присоединяйся в ВК