Задать свой вопрос   *более 50 000 пользователей получили ответ на «Решим всё»

Задача 47925 ...

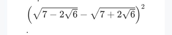
Условие

( √7 - 2√6 - √7 + 2√6 )^2

математика 573

Все решения

Формула:
(a-b)^2=a^2-2*a*b+b^2

[m]=(\sqrt{7-2\sqrt{6}})^2-2\cdot \sqrt{7-2\sqrt{6}}\cdot \sqrt{7+2\sqrt{6}}+(\sqrt{7+2\sqrt{6}})^2=[/m]

[m]=7-2\sqrt{6}-2\sqrt{7^2-(2\sqrt{6})^2}+7+2\sqrt{6}

=14-2\sqrt{49-24}=[/m]

[m]=14-10=4[/m]

Написать комментарий

Меню

Присоединяйся в ВК