Задать свой вопрос   *более 50 000 пользователей получили ответ на «Решим всё»

Задача 4789 Решить неравенство log(x+1)(2x+7) *...

Условие

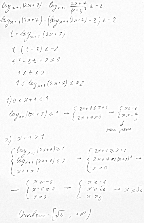
Решить неравенство log(x+1)(2x+7) * log(x+1)((2x+7)/(x+1)^3) меньше или равно -2

математика 10-11 класс 16842

Решение

Делаем замену и решаем через t, и так как это неравенство по переменному основанию рассматриваем два случае

Ответ: [sqrt(6); +бесконечность)

Вопросы к решению (1)

Написать комментарий

Меню

Присоединяйся в ВК