Задать свой вопрос   *более 50 000 пользователей получили ответ на «Решим всё»

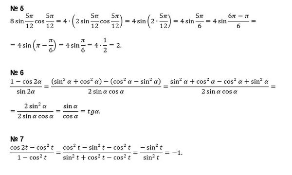
Задача 47887 5) Найдите значение выражения 8sin...

Условие

5) Найдите значение выражения 8sin [m]\frac{5\pi}{12}[/m] cos [m]\frac{5\pi}{12}[/m]

6) Упростите выражение

[m]\frac{1 - cos 2\alpha}{sin 2\alpha}[/m]

7) Упростите выражение

[m]\frac{cos 2t - cos^{2} t}{1 - cos^{2} t}[/m]

математика 10-11 класс 514

Все решения

Написать комментарий

Меню

Присоединяйся в ВК