Задать свой вопрос   *более 50 000 пользователей получили ответ на «Решим всё»

Задача 47871 Очень срочно ТЕМА : Бином Ньютона...

Условие

Очень срочно ТЕМА : Бином Ньютона и
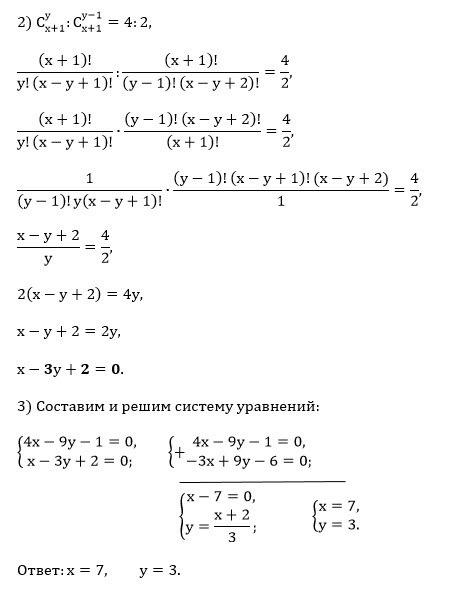
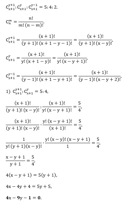
полиномиальная формула. Из данной пропорции найти х и у C^(y+1)_(x+1) : C^(y)_(x+1) : C^(y-1)_(x+1) = 5 : 4 : 2

математика ВУЗ 1487

Решение

Все решения

Вопросы к решению (1)

Написать комментарий

Меню

Присоединяйся в ВК