Задать свой вопрос
*более 50 000 пользователей получили ответ на «Решим всё»
Задача 47870
Найти наибольший член разложения...
Условие
vk592127374
2020-04-21 20:03:30
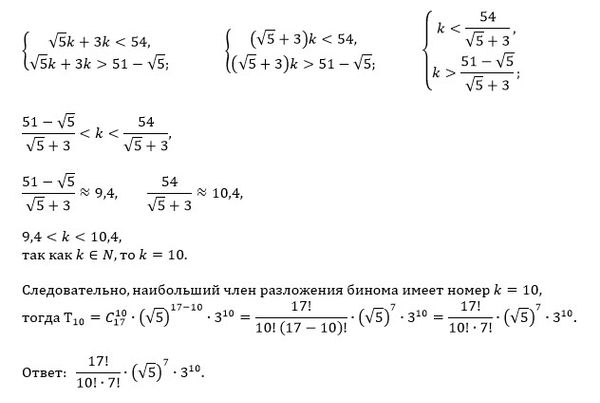
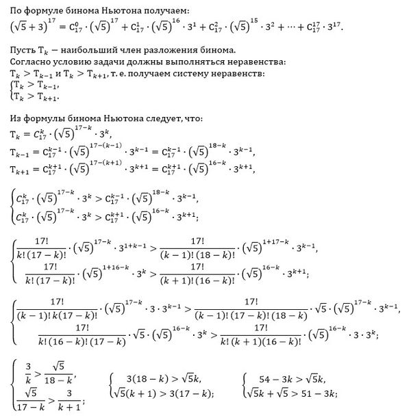
Найти наибольший член разложения бинома(sqrt(5)+3^(17))
математика ВУЗ
3402
Решение
u821511235
2020-04-21 23:54:08
★
Все решения
sasha1997
2020-04-21 20:05:56
322
Написать комментарий
Меню
Решим всё
Найти задачу
Категории
Статьи
Тесты
Архив задач
Присоединяйся в ВК