Задать свой вопрос   *более 50 000 пользователей получили ответ на «Решим всё»

Задача 47854 Из данной пропорции найти х и у. ...

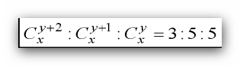
Условие

Из данной пропорции найти х и у.

математика 1293

Решение

С^(y+2)_(x)=(x)!/((y+2)!*(x-y-2)!)

С^(y+1)_(х)=(x)!/((y+1)!*(x-y-1)!)

С^(y)_(х)=(x)!/((y)!*(x-y)!)

1)
С^(y+2)_(x+1) : C^(y+1)_(x+1) = 3:5

(x)!/((y+2)!*(x-y-2)!): (x)!/((y+1)!*(x-y-1)!)= 3 : 5;

(x-y-1)/(y+2)= 3 : 5 ⇒ 5x-5y-5=3y+6 ⇒[b] 5x-8y=11[/b]

2)
C^(y+1)_(x+1) : C^(y)_(x+1) = 5:5

(x)!/((y+1)!*(x-y-1)!): (x)!/((y)!*(x-y)!) = 5 : 5

(x-y)/(y+1)=5:5 ⇒ x-y=y+1 ⇒ [b]x-2y=1[/b]

Решаем систему двух уравнений и получаем ответ

Система двух уравнений:
{5x-8y=11;
{x-2y=1

Умножаем второе уравнение на 4:

{5x-8y=11;
{4x-8y=4

Вычитаем из первого уравнения второе
х=7
у=3

О т в е т. х=7; у=3

Написать комментарий

Меню

Присоединяйся в ВК