Задать свой вопрос
*более 50 000 пользователей получили ответ на «Решим всё»
Задача 47839
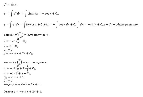
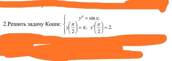
Помогите подробно и всё решить . ...
Условие
vk492803606
2020-04-21 16:49:56
Помогите подробно и всё решить .
предмет не задан
563
Решение
u821511235
2020-04-21 18:30:37
★
Написать комментарий
Меню
Решим всё
Найти задачу
Категории
Статьи
Тесты
Архив задач
Присоединяйся в ВК