Задать свой вопрос
*более 50 000 пользователей получили ответ на «Решим всё»
Задача 47838
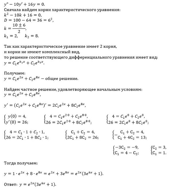
Помогите решить подробно задачу Коши ...
Условие
vk492803606
2020-04-21 16:46:53
Помогите решить подробно задачу Коши с полным решением . С полным ответом
предмет не задан
663
Решение
u821511235
2020-04-21 19:13:21
★
Написать комментарий
Меню
Решим всё
Найти задачу
Категории
Статьи
Тесты
Архив задач
Присоединяйся в ВК