Задать свой вопрос
*более 50 000 пользователей получили ответ на «Решим всё»
Задача 47807
...
Условие
vk306899767
2020-04-21 14:28:43
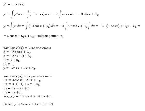
2. Решить задачу Коши:
{ y’’ = -3cos x;
{ y(π) = 5π, y’(π) = 5.
математика 10-11 класс
551
Решение
u821511235
2020-04-21 15:26:01
★
Написать комментарий
Меню
Решим всё
Найти задачу
Категории
Статьи
Тесты
Архив задач
Присоединяйся в ВК