Задать свой вопрос
*более 50 000 пользователей получили ответ на «Решим всё»
Задача 47802
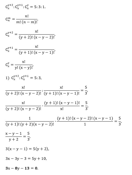
Из данной пропорции найти х и у...
Условие
sardor2001
2020-04-21 14:02:18
Из данной пропорции найти х и у
математика ВУЗ
957
Решение
u821511235
2020-04-21 14:37:09
★
Написать комментарий
Меню
Решим всё
Найти задачу
Категории
Статьи
Тесты
Архив задач
Присоединяйся в ВК