Задать свой вопрос   *более 50 000 пользователей получили ответ на «Решим всё»

Задача 47792 Пожалуйста помогите решить система...

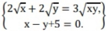
Условие

Пожалуйста помогите решить система уравнений

математика 545

Решение

x ≥ 0
y ≥ 0

Возводим первое уравнение в квадрат:
{4x+8sqrt(xy)+4y=9xy
{x-y=5 ⇒ x=y+5

4*(y+5)+8*sqrt(y*(y+5))+4y=9*y*(y+5)

8*sqrt(y*(y+5))=9y^2+45y-8y-20

8*sqrt(y*(y+5))=9y^2+37y-20

Еще раз в квадрат

64(y^2+5y)=81y^4+1369y^2+400+666y^3-360y^2-1480y

81y^4+1369y^2+400+666y^3-360y^2-1480y-64y^2-320y

81y^4+666y^3+945y^2-1800y+400=0

Ответ приближенный

y ≈ 1
x ≈ 6

Скорее всего проблема в условии.

Написать комментарий

Меню

Присоединяйся в ВК