sqrt(4x^2+4)=2sqrt(x^2+1)
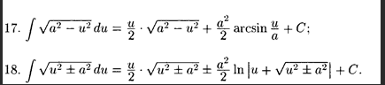
Есть готовая формула( см. 18)
∫ ^(π)_(0)sqrt(4x^2+4) dx=2 ∫ ^(π)_(0)sqrt(x^2+1)dx=
=2*(x/2)*sqrt(x^2+1)|^(π)_(0) +(1/2)ln|x+sqrt(x^2+1)||^(π)_(0)=
=π*sqrt(π^2+1)-0 + (1/2) ln |π+sqrt(π^2+1)|-(1/2)ln|0+sqrt(1+0)|=
=π*sqrt(π^2+1)+ (1/2) ln |π+sqrt(π^2+1)|
Эти формулы были получены с помощью интегрирования по частям два раза.
Так же можно получить их с помощью тригонометрических подстановок.
Поэтому можно решать по частям.
u=sqrt(x^2+1)
dv=dx
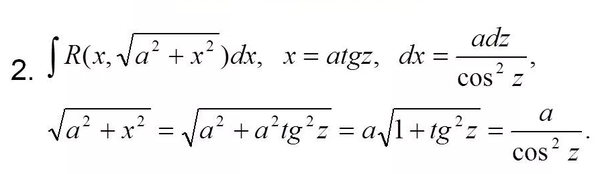
Тригонометрические подстановки ( cм приложение 2)
x=tgt ⇒
x^2+1=tg^2t+1
Формула
tg^2t+1=1/cos^2t
