Задать свой вопрос
*более 50 000 пользователей получили ответ на «Решим всё»
Задача 47736
Реши уравнение методом разложения на...
Условие
victoriya08
2020-04-20 22:26:27
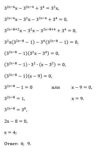
Реши уравнение методом разложения на множители:
3^(2x-6)x - 3^(2x-4) + 3^4 = 3^2x.
математика 10-11 класс
543
Решение
u821511235
2020-04-20 22:40:20
★
Написать комментарий
Меню
Решим всё
Найти задачу
Категории
Статьи
Тесты
Архив задач
Присоединяйся в ВК