Задать свой вопрос
*более 50 000 пользователей получили ответ на «Решим всё»
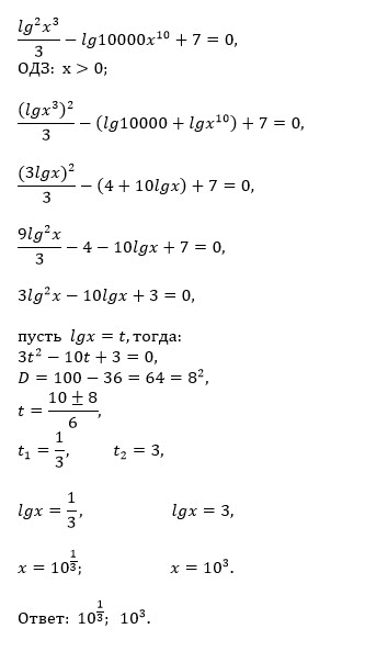
Задача 47730
...
Условие
victoriya08
2020-04-20 21:38:37
математика 10-11 класс
498
Решение
u821511235
2020-04-20 21:52:16
★
Написать комментарий
Меню
Решим всё
Найти задачу
Категории
Статьи
Тесты
Архив задач
Присоединяйся в ВК