Задать свой вопрос
*более 50 000 пользователей получили ответ на «Решим всё»
Задача 47606
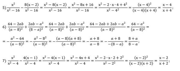
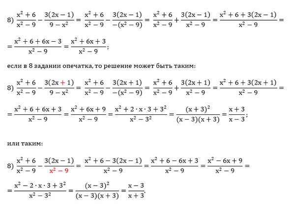
Упрости выражение...
Условие
vk453832427
2020-04-20 07:40:53
Упрости выражение
математика 6-7 класс
589
Все решения
u821511235
2020-04-20 08:24:31
Написать комментарий
Меню
Решим всё
Найти задачу
Категории
Статьи
Тесты
Архив задач
Присоединяйся в ВК