Задать свой вопрос
*более 50 000 пользователей получили ответ на «Решим всё»
Задача 47563
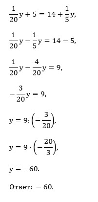
Реши уравнение: 1/20y+5=14+1/5y....
Условие
vk539312724
2020-04-19 17:45:37
Реши уравнение:
1/20y+5=14+1/5y.
математика 6-7 класс
1454
Все решения
u821511235
2020-04-19 20:15:33
Написать комментарий
Меню
Решим всё
Найти задачу
Категории
Статьи
Тесты
Архив задач
Присоединяйся в ВК