Задать свой вопрос   *более 50 000 пользователей получили ответ на «Решим всё»

Задача 47520 Дана система трех линейных уравнений с...

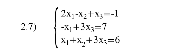
Условие

Дана система трех линейных уравнений с тремя неизвестными. Требуется:
Найти ее решение с помощью формул Крамера;
Записать систему в матричной форме и решить ее матричным способом;
Решить систему методом Гаусса.

предмет не задан 1602

Все решения

Написать комментарий

Меню

Присоединяйся в ВК