Задать свой вопрос   *более 50 000 пользователей получили ответ на «Решим всё»

Задача 47486 Помогите! Дано: M(-6;0;1); N(1;-4;5);...

Условие

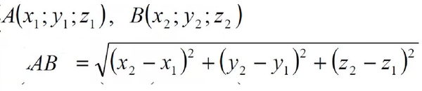
Помогите! Дано: M(-6;0;1); N(1;-4;5); K(1;-3;2). Найти периметр треугольника MNK

математика 10-11 класс 2170

Все решения

Найти стороны по формуле:

Написать комментарий

Меню

Присоединяйся в ВК