Задать свой вопрос   *более 50 000 пользователей получили ответ на «Решим всё»

Задача 47456 Вычислить двойной интеграл по области D,...

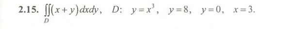
Условие

Вычислить двойной интеграл по области D, ограниченной заданными линиями.

предмет не задан 749

Все решения

Область горизонтального вида:
0 ≤ y ≤ 8
∛y ≤ x ≤ 3


= ∫ ^(8)_(0)dy ∫ ^(3)_(∛y)(x+y)dx=

= ∫ ^(8)_(0) ((x^2/2)+yx)|^(3)_(∛y)dx=

= ∫ ^(8)_(0)((9/2)-y∛y)dy=

=(9/2)y|^(8)_(0)-(y^(7/3)/(7/3))|^(8)_(0)=

=(9/2)*8-(3/7)*2^7=

Написать комментарий

Меню

Присоединяйся в ВК