Задать свой вопрос   *более 50 000 пользователей получили ответ на «Решим всё»

Задача 4736 Воздушный клин, образовавшийся между...

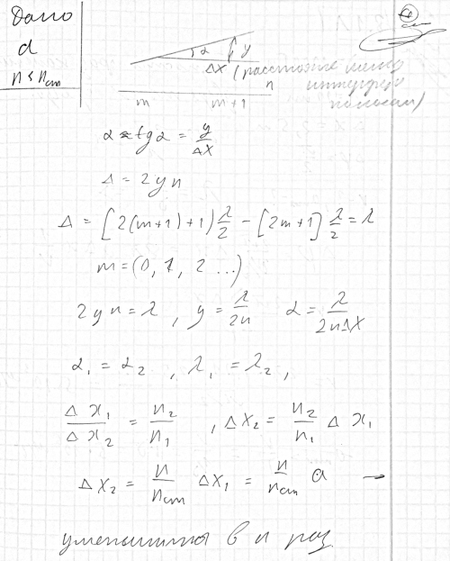
Условие

Воздушный клин, образовавшийся между стеклянными пластинками, освещают монохроматическим светом. При этом расстояние между интерференционными полосами равно а. Как изменится расстояние между полосами, если пространство между пластинами, образующими клин, заполнить прозрачной жидкостью с показателем преломления n < nст

физика ВУЗ 8294

Решение



Ответ: уменьшится в n раз

Написать комментарий

Меню

Присоединяйся в ВК