Задать свой вопрос   *более 50 000 пользователей получили ответ на «Решим всё»

Задача 4735 Свет с длинами волн 520 и 600 нм...

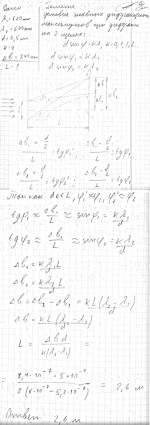
Условие

Свет с длинами волн 520 и 600 нм проходит через две щели, расстояние между которыми d = 0,5 мм. На каком расстоянии расположен экран, если на нем интерференционные максимумы второго порядка для этих длин волн смещены относительно друг друга на b = 840 нм.

физика ВУЗ 6481

Решение



Ответ: 2,6

Написать комментарий

Меню

Присоединяйся в ВК