Задать свой вопрос   *более 50 000 пользователей получили ответ на «Решим всё»

Задача 4734 Плоская звуковая волна, частота которой...

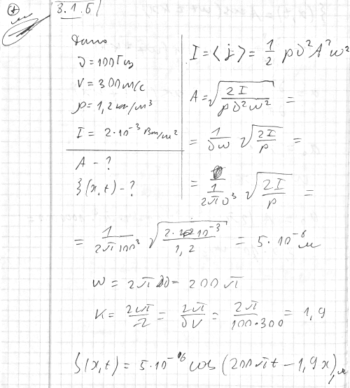
Условие

Плоская звуковая волна, частота которой 100 Гц, распространяется в воздухе со скоростью 330 м/с. Плотность воздуха равна 1,2 кг/м^3. Интенсивность волны равна 2*10^(-3) Вт/м^2. Определить амплитуду волны и записать уравнение волны с числовыми коэффициентами.

физика ВУЗ 7640

Решение



Ответ: В решение

Написать комментарий

Меню

Присоединяйся в ВК