Задать свой вопрос   *более 50 000 пользователей получили ответ на «Решим всё»

Задача 4733 Плоская волна с частотой 1000 Гц...

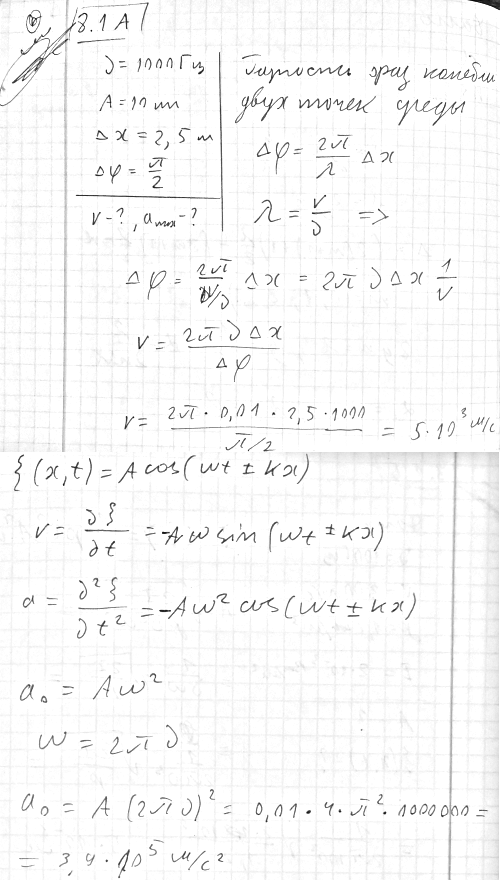
Условие

Плоская волна с частотой 1000 Гц распространяется в упругой среде. Амплитуда колебаний 10 мм, наименьшее расстояние между двумя точками среды, в которых колебания происходят в противофазе, равно 2,5 м. Определить скорость распространения волны и максимальное ускорение колебательного движения частиц среды.

физика ВУЗ 3504

Решение



Ответ: В решение

Написать комментарий

Меню

Присоединяйся в ВК