Задать свой вопрос
*более 50 000 пользователей получили ответ на «Решим всё»
Задача 4732
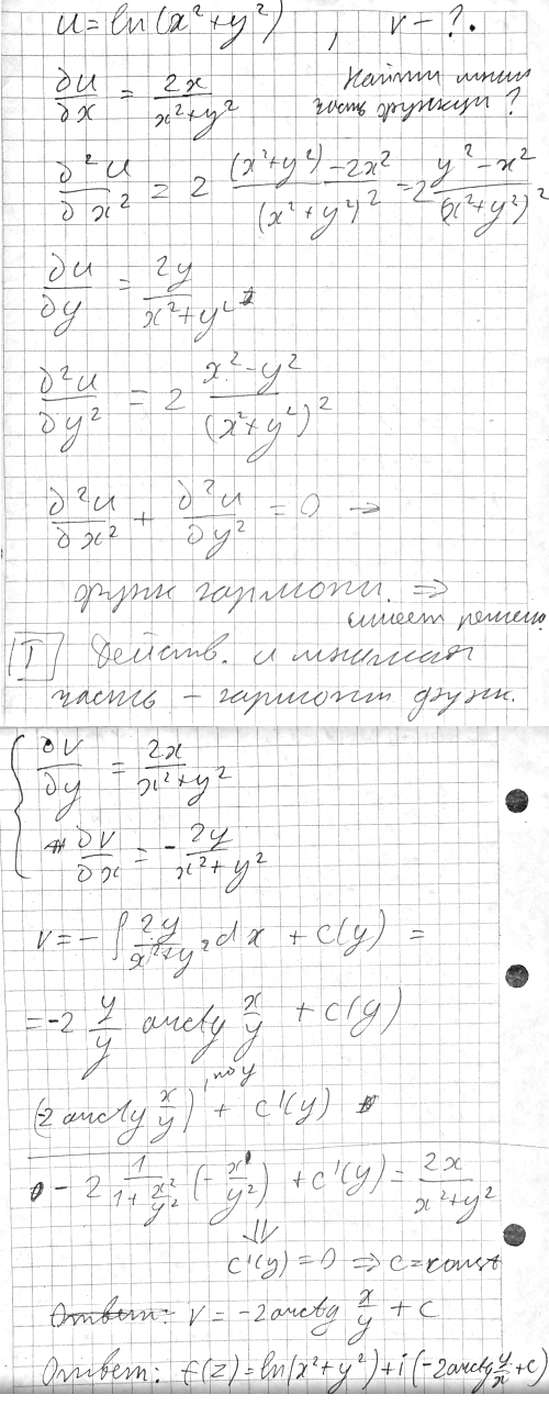
Найти мнимую часть функции, где целая...
Условие
slava191
27.10.2015
Найти мнимую часть функции, где целая часть u=ln(x^2+y^2)
математика ВУЗ
1281
Решение
Ответ:
В решение
Написать комментарий
Меню
Решим всё
Найти задачу
Категории
Статьи
Тесты
Архив задач
Присоединяйся в ВК