1.∫хarctgx u=arctgx dv=xdx
2.∫√a2–x2dx u=√a2–x2 dv=dx
3.∫xe^–2dx
4.∫(2x–3)sin x/2dx
u=arctgx dv=xdx
du=dx/(1+x^2)
v=x^2/2
∫х*arctgx dx=(x^2/2)*arctgx - ∫ (x^2/2)*(dx/(1+x^2))=
=(x^2/2)*arctgx -(1/2)∫ (x^2+1-1)dx/(1+x^2)=
=(x^2/2)*arctgx-(1/2)∫dx + (1/2)∫dx/(1+x^2)=
=(x^2/2)*arctgx-(1/2)*x + (1/2)arctgx +C
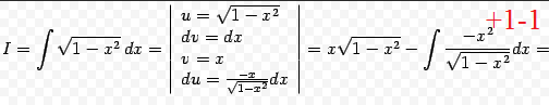
2.
Есть в любом учебнике
Это вывод формулы
3.
u=x
dv=e^(-x)dx
du=dx
v= - (1/2)e^(-x)
∫xe^(–2x)dx= - (1/2)х*e^(-x) - (1/2) ∫( -e^(-2x))dx=
= - (1/2)х*e^(-x) +(1/4)*(e^(-2x) +C
4.
см аналогичную задачу
https://reshimvse.com/zadacha.php?id=38032
