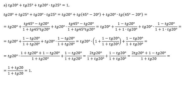
a) tg 20 ° + tg 25 ° + tg 20 ° × tg 25 ° = 1
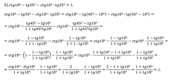
б) ctg 10 ° - tg 35 ° - ctg 10 ° × tg 35 ° = 1
=(sin45*+1/2(coc5*-cos45*)/cos20cos25=1/2((sin45*+cos5*):1/2(cos45+cos5*)=1
(так как cos45*=sin45*)
б) По формуле приведения ctg(90-a)=tga получим условие первого примера
ctg10*-tg35*-ctg10**tg35*=
=tg80*-tg35*-tg80**tg35*=(sin45*)/coc80*cos35*-(sin80**sin35*)/(cos80**cos35*)=((sin45*-1/2(cos45*-cos115*))/cos80**cos35*)=(1/2*(sin45*+cos115*)/1/2*(cos45*+cos115*)=1 (так как cos45*=sin45*)
