Задать свой вопрос
*более 50 000 пользователей получили ответ на «Решим всё»
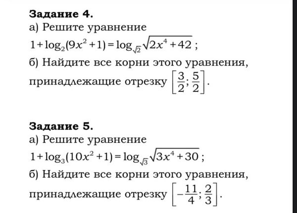
Задача 47219
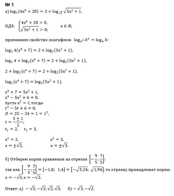
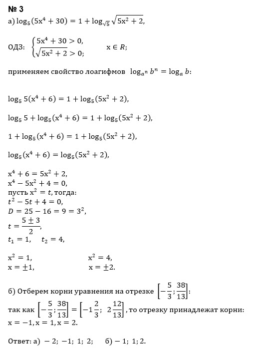
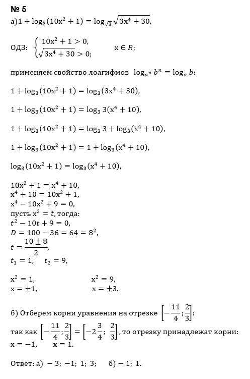
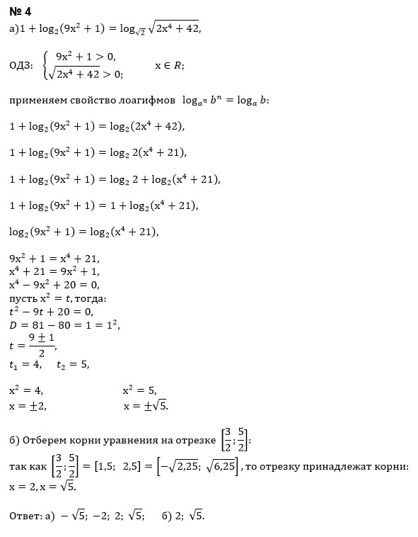
Логарифмические уравнения ( Зада ние 13...
Условие
kokorika
2020-04-15 16:25:09
Логарифмические уравнения ( Зада ние 13 - математика профиль). Помогите. 5 заданий
математика 10-11 класс
1055
Решение
u821511235
2020-04-15 21:15:21
★
Написать комментарий
Меню
Решим всё
Найти задачу
Категории
Статьи
Тесты
Архив задач
Присоединяйся в ВК