Задать свой вопрос   *более 50 000 пользователей получили ответ на «Решим всё»

Задача 47085 На рисунке изображён рычаг, на концы...

Условие

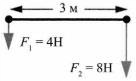
На рисунке изображён рычаг, на концы которого действуют две силы
F1 и F2. На каком расстоянии от силы F2 должна находиться точка опоры
этого рычага, чтобы он был в равновесии? Чему будут равны плечи этих
сил? Записать полное решение задачи. (указание-подсказка:
обозначьте через х одно из плеч)
1586867769u.png
А) 1 м; 1 м и 2 м
Б) 1 м; 2 м и 3 м
В) 2 м; 1 м и 2 м
Г) 1 м; 1 м и 3 м

Решите письменно через дано.
Срочно.

физика 6-7 класс 3818

О решение...

На нашем сайте такое бывает редко, но решение к данной задаче еще никто не написал.

Что Вы можете сделать?

  1. Выставите данный вопрос вновь. Перейдите на главную страницу.
  2. Найдите похожую задачу. Используйте поиск.

Написать комментарий

Меню

Присоединяйся в ВК